


在神经毒性测试领域,斑马鱼胚胎因其透明度高、发育过程清晰,已成为重要的生物模型。尤其是在发育神经毒性(DNT)评估中,通过观察胚胎的自发卷尾运动(Coiling Assay)来检测化学物质的影响,已成为一种高效的行为学检测手段。然而,在实验过程中一个常被忽略的问题是:这些在实验室中被“隔离饲养”的小小胚胎,它们之间是否存在交流?
以往的研究大多默认将胚胎分组饲养在同一个培养孔中。自然界中,许多卵生动物(如某些鱼类、爬行动物)的胚胎之间存在机械振动、化学信号等形式的交流,以实现发育同步或预警危险。斑马鱼胚胎是否也存在类似的“胚胎间交流”?这种交流是否会影响其在毒性测试中的行为表现?本文介绍的研究给出了答案。
为了探究“社交”对行为的影响,研究团队设计了一套物理隔离方案:
Rotenone是一种天然植物毒素,常用于在斑马鱼中模拟帕金森病症状,其神经毒性明确。研究选用Rotenone,实验设置了四个浓度梯度:1.0, 10.1, 20.3 nM,以及0.1% DMSO溶剂对照。浓度范围基于前期鱼胚胎急性毒性(FET)测试结果,涵盖了从无效应到明显效应的区间。
实验使用野生型斑马鱼胚胎。在胚胎发育的21至47小时这一关键窗口期,研究团队每小时进行一次长达8分钟的高清视频录制。这一时段覆盖了自发卷尾行为的起始、高峰及逐渐向游泳行为过渡的全过程。使用斑马鱼微视行为分析系统(DanioScope)分析视频。软件通过识别胚胎尾部像素的变化,自动量化两个核心行为参数:① 平均卷尾爆发次数/分钟(反映运动频率),② 平均卷尾持续时间(以秒计,反映单次运动的强度)。
实验结果通过图表清晰地揭示,胚胎的“社交生活”对其行为模式产生了深刻影响,甚至改变了它们对神经毒素的反应。
1.Rotenone的毒性在“热闹”的群养胚胎中更易显现
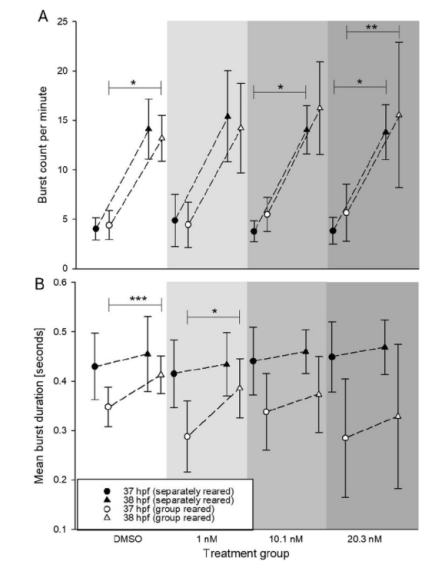
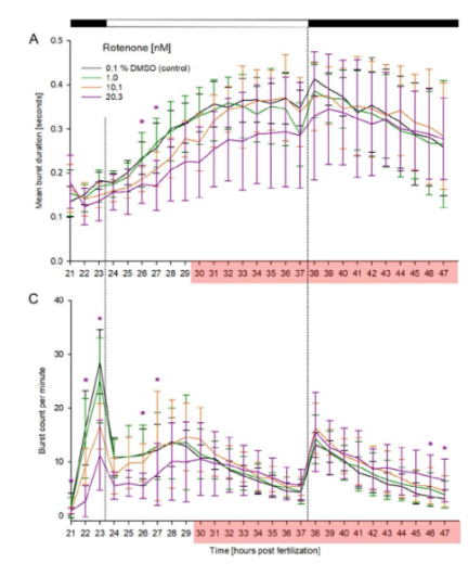
图1群养组数据显示,在群养条件下,暴露于最高浓度Rotenone(20.3 nM)的胚胎,其平均卷尾持续时间(图1A) 和卷尾爆发频率(图1C) 在30小时前均出现显著下降。这表明在高浓度毒素作用下,胚胎的神经肌肉活动受到了明显抑制。
一个意外的发现是:部分群养胚胎对毒素的反应是过度活跃,而非抑制。这种剧烈的、无序的运动导致它们的运动轨迹在视频中交叉重叠,超出了软件的分析能力,迫使研究人员不得不将这些“无法追踪”的个体数据排除(图1中红色方框标出的时间段)。这本身暗示了在社交环境中,胚胎对毒素的反应模式可能更多样、更复杂。
与群养组形成鲜明对比的是图3(隔离组数据)。在物理隔离的条件下,即使暴露于相同浓度的Rotenone,胚胎的卷尾持续时间(图2A) 和频率(图2C) 曲线与溶剂对照组几乎完全重叠,未表现出任何统计学上的显著差异。
这揭示了一个重要结论:隔离饲养的环境本身,就像为胚胎提供了一个“缓冲垫”,削弱或掩盖了Rotenone本应引发的行为毒性。当胚胎独处时,它们对神经毒素的敏感度似乎降低了。
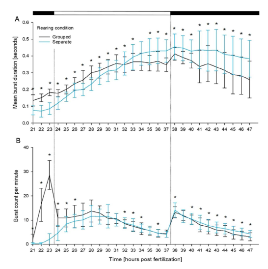
令人惊讶的发现来自对照组的直接比较(图3)。即使双方都未接触任何毒素,仅仅因为饲养方式不同,它们的行为发育轨迹就出现了显著分歧:行为发育曲线差异,即隔离饲养的胚胎在发育早期(约24小时)完全缺失了群养组中普遍存在的“初始活动高峰”(图3B)。这个高峰被认为是神经系统发育中不同神经递质系统开始整合并驱动协调运动的关键标志。
活动水平整体偏低:在整个观测前期,隔离胚胎的卷尾频率显著低于群养胚胎(图3B)。这意味着,没有同伴的刺激,胚胎的自发运动发育似乎启动得更慢、更“慵懒”。
后期“追赶”现象:直到发育后期(约32小时后),隔离胚胎的卷尾持续时间才逐渐追上并超过群养胚胎(图3A),这可能是一种代偿性或延迟的发育模式。
图4进一步分析了胚胎在光照突变(37.5 hpf时由亮转暗)这一应激刺激下的行为变化。结果发现:在群养组中,溶剂对照和低浓度Rotenone组在变暗后活动显著增加。而在隔离组中,只有较高浓度Rotenone暴露的个体才对黑暗刺激表现出明显的频率增加。这表明,社交环境(群养)能增强胚胎对轻度环境刺激(如黑暗)的反应性,而隔离环境则可能使胚胎仅对更强的刺激(如高浓度毒素叠加黑暗)产生反应。
本文介绍的研究揭示了一个重要却常被忽视的事实:即使是胚胎阶段的斑马鱼,其行为也受到社交环境的显著影响。在评估神经毒性时,饲养条件可能成为一个“隐藏变量”,干扰数据的解读与化学物质毒性的真实判断。这项研究提醒我们:生命从来不是孤立的实验单元,社交与环境交织成的网络,深深影响着个体对压力的反应——即使这个个体,只是一个尚未孵化的斑马鱼胚胎。
von Hellfeld, Rebecca, et al. “Rearing conditions (isolated versus group rearing) affect rotenone-induced changes in the behavior of zebrafish (Danio rerio) embryos in the coiling assay.” Environmental Science and Pollution Research 31.43 (2024): 55624-55635.